欢迎光临:莱耀标准品网!
 您的位置:对照品 > 标准品 > TRC >
盐酸丙哌维林-d7标准品
产品基本信息
产品编号:P828002
产品名称:盐酸丙哌维林-d7标准品
产品CAS:
规格含量:2.5mg,25mg
产品价格:3100元,25000元
联系我们:
产品详细介绍

  盐酸丙哌维林-d7标准品

  货号:P828002
  英文名称:Propiverine-d7 Hydrochloride
  别名:α-Phenyl-α-(propoxy-d7)benzeneacetic Acid 1-Methyl-4-piperidinyl Ester Hydrochloride; Diphenyl(propoxy-d7)acetic Acid 1-Methyl-4-piperidyl Ester Hydrochloride; Mictonetten-d7; Mictonorm-d7; P 4-d7; Pollarine-d7;
  规格:2.5mg,25mg
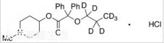
  结构式:
盐酸丙哌维林-d7标准品
  分子式:C23H23D7ClNO3
  分子量:410.99
  产品类别:莱耀生物标准品,北京莱耀生物提供
  注:产品名称以英文名称为准
点击查看产品价格


2011-2018 信阳莱耀生物科技有限公司 @ 信阳埃尔文生物科技有限公司版权所有

中检所标准品,对照品,标准气体
Keywords: 中检所标准品 对照品 标准气体