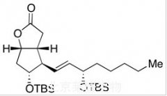
(3aR,4R,5R,6aS)-5-[[(1,1-Dimethylethyl)dimethylsilyl]oxy]-4-[(1E,3S)-3-[[(1,1-dimethylethyl)dimethylsilyl]oxy]-1-octen-1-yl]hexahydro-2H-cyclopenta[b]furan-2-one标准品
货号:D461575
英文名称: (3aR,4R,5R,6aS)-5-[[(1,1-Dimethylethyl)dimethylsilyl]oxy]-4-[(1E,3S)-3-[[(1,1-dimethylethyl)dimethylsilyl]oxy]-1-octen-1-yl]hexahydro-2H-cyclopenta[b]furan-2-one
别名: [3aR-[3aα,4α(1E,3S*),5β,6aα]]-5-[[(1,1-Dimethylethyl)dimethylsilyl]oxy]-4-[3-[[(1,1-dimethylethyl)dimethylsilyl]oxy]-1-octenyl]hexahydro-2H-cyclopenta[b]furan-2-one; (3aR,4R,5R,6aS)-5-[[(1,1-Dimethylethyl)dimethylsilyl]oxy]-4-[(1E,3S)-3-[[(1,1-dimethylethyl)dimethylsilyl]oxy]-1-octenyl]hexahydro-2H-cyclopenta[b]furan-2-one;
规格:5mg,50mg
结构式:

CAS号:61628-05-5
分子式:C27H52O4Si2
分子量:496.87
产品类别:莱耀生物标准品,北京莱耀生物提供
注:产品名称以英文名称为准
|