Cicaprost标准品
货号:C432750
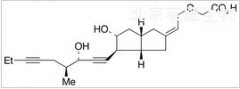
英文名称:Cicaprost
别名:2-[2-[(2E,3aS,4S,5R,6aS)-Hexahydro-5-hydroxy-4-[(3S,4S)-3-hydroxy-4-methyl-1,6-nonadiyn-1-yl]-2(1H)-pentalenylidene]ethoxy]acetic Acid; ZK 96480;
规格:10mg,25mg
结构式:

CAS号:94079-80-8
分子式:C22H30O5
分子量:374.47
产品类别:莱耀生物标准品,北京莱耀生物提供
注:产品名称以英文名称为准
|