欢迎光临:莱耀标准品网!
 您的位置:对照品 > 标准品 > TRC >
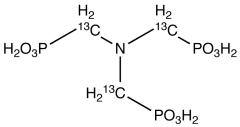
Nitrilotris(methylene)triphosphonic Acid-13C3
产品基本信息
产品编号:N490202
产品名称:Nitrilotris(methylene)triphosphonic Acid-13C3
产品CAS:1286480-03-2
规格含量:
产品价格:面议
联系我们:
产品详细介绍
标准品编号: N490202
名称: Nitrilotris(methylene)triphosphonic Acid-13C3
别名: P,P’,P’’-[nitrilotris(methylene)]trisphosphonic Acid-13C3; 1,1,1-Nitrilotris(methyl- phosphonic Acid)-13C3; ATMP-13C3; Aminotri(methylenephosphonic Acid)-13C3; Briquest 301-13C3; NTPH; Nitrilo-N,N,N-trimethylenephosphonic Acid-13C3; Tris(phosphonomethyl)amine-13C3; Sequion 20H45-13C3; Sequion OVIP(LA)13C3; WSI 3310-13C3;
CAS号: 1286480-03-2
参考CAS号: 6419-19-8-unlabelled
分子式: ¹³C₃H₁₂NO₉P₃
分子量: 302.03
种类: Research Tools;
应用: A labelled powerful complexing agent. A potent acid sphingomyelinase inhibitor.
参考文献


2011-2018 信阳莱耀生物科技有限公司 @ 信阳埃尔文生物科技有限公司版权所有

中检所标准品,对照品,标准气体
Keywords: 中检所标准品 对照品 标准气体