欢迎光临:莱耀标准品网!
 您的位置:对照品 > 标准品 > TRC >
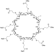
Monoiodo Sugammadex Sodium
产品基本信息
产品编号:M547680
产品名称:Monoiodo Sugammadex Sodium
产品CAS:
规格含量:5mg
产品价格:面议
联系我们:
产品详细介绍
标准品编号: M547680
名称: Monoiodo Sugammadex Sodium
别名: 6-Deoxy-6-iodo-heptakis(6-deoxy-6-(2-carboxyethyl)thio)-γ-cyclodextrin Sodium Salt
分子式: C₆₉H₁₀₀INa₇O₄₆S₇
分子量: 2177.79
种类: Standards; Pharmaceutical/API Drug Impurities/Metabolites; Carbohydrates and Oligosaccharides;
应用: Monoiodo Sugammadex Sodium is an impurity of Sugammadex Sodium (S698100), which is the first in a class of drugs called selective relaxant binding agents that offers improved termination of the paralytic effects of neuromuscular blocking agents and may have many potential peri-operative benefits.
参考文献


2011-2018 信阳莱耀生物科技有限公司 @ 信阳埃尔文生物科技有限公司版权所有

中检所标准品,对照品,标准气体
Keywords: 中检所标准品 对照品 标准气体