欢迎光临:莱耀标准品网!
 您的位置:对照品 > 标准品 > TRC >
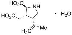
(-)-α-Kainic Acid Monohydrate
产品基本信息
产品编号:K445000
产品名称:(-)-α-Kainic Acid Monohydrate
产品CAS:58002-62-3
规格含量:25mg
产品价格:面议
联系我们:
产品详细介绍
标准品编号: K445000
名称: (-)-α-Kainic Acid Monohydrate
别名: (2S,3S,4S)-2-Carboxy-4-(1-methylethenyl)-3-pyrrolidineacetic Acid Hydrate; [2S-(2α,3β,4β)]-2-Carboxy-4-(1-methylethenyl)-3-pyrrolidineacetic Acid Monohydrate
CAS号: 58002-62-3
参考CAS号: Anhydrous: 487-79-6
分子式: C₁₀H₁₇NO₅
外观: 白色固体
熔点: >211°C (dec.)
分子量: 231.25
溶解度: Water
种类: Building Blocks; Miscellaneous;
应用: (-)-α-Kainic Acid Monohydrate is the monohydrated form of (-)-α-Kainic Acid (K135010); a naturally occurring neuroexcitatory chemical that is a selective agonist for a subtype of ionotropic glutamate receptor. Administration of (-)-α-Kainic Acid has been shown to increase production of reactive oxygen species, mitochondrial dysfunction, and apoptosis in neurons in many regions of the brain, particularly in the hippocampal subregions and in the hilus of dentate gyrus.
参考文献


2011-2018 信阳莱耀生物科技有限公司 @ 信阳埃尔文生物科技有限公司版权所有

中检所标准品,对照品,标准气体
Keywords: 中检所标准品 对照品 标准气体