欢迎光临:莱耀标准品网!
 您的位置:对照品 > 标准品 > TRC >
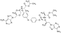
(2S,2'S)-Diisopropyl-2,2'-(((S)-((((R)-1-(6-amino-9H-purin-9-yl)propan-2-yl)oxy)methyl)(4-
产品基本信息
产品编号:D487415
产品名称:(2S,2'S)-Diisopropyl-2,2'-(((S)-((((R)-1-(6-amino-9H-purin-9-yl)propan-2-yl)oxy)methyl)(4-
产品CAS:
规格含量:10mg
产品价格:面议
联系我们:
产品详细介绍
标准品编号: D487415
名称: (2S,2'S)-Diisopropyl-2,2'-(((S)-((((R)-1-(6-amino-9H-purin-9-yl)propan-2-yl)oxy)methyl)(4-((4-(((S)-((((R)-1-(6-amino-9H-purin-9-yl)propan-2-yl)oxy)methyl)hydrophosphoryl)oxy)phenyl)thio)phenoxy)phosphoryl)bis(azanediyl))dipropanoate
分子式: C₄₂H₅₆N₁₂O₁₀P₂S
分子量: 982.98
种类: Standards; Pharmaceutical/API Drug Impurities/Metabolites;
应用: (2S,2'S)-Diisopropyl-2,2'-(((S)-((((R)-1-(6-amino-9H-purin-9-yl)propan-2-yl)oxy)methyl)(4-((4-(((S)-((((R)-1-(6-amino-9H-purin-9-yl)propan-2-yl)oxy)methyl)hydrophosphoryl)oxy)phenyl)thio)phenoxy)phosphoryl)bis(azanediyl))dipropanoate is a metabolite of Tenofovir (T018500), an acyclic phosphonate nucleotide analogue and reverse transcriptase inhibitor. It is used as an anti-HIV agent. Antiviral.
参考文献


2011-2018 信阳莱耀生物科技有限公司 @ 信阳埃尔文生物科技有限公司版权所有

中检所标准品,对照品,标准气体
Keywords: 中检所标准品 对照品 标准气体