欢迎光临:莱耀标准品网!
 您的位置:对照品 > 标准品 > TRC >
(4-(2-(Dimethylamino)ethoxy)phenyl)(4-((4-(2-(dimethylamino)ethoxy)phenyl)(phenyl)methyl)p
产品基本信息
产品编号:D471135
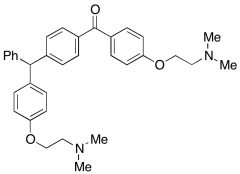
产品名称:(4-(2-(Dimethylamino)ethoxy)phenyl)(4-((4-(2-(dimethylamino)ethoxy)phenyl)(phenyl)methyl)p
产品CAS:
规格含量:2.5mg
产品价格:面议
联系我们:
产品详细介绍
标准品编号: D471135
名称: (4-(2-(Dimethylamino)ethoxy)phenyl)(4-((4-(2-(dimethylamino)ethoxy)phenyl)(phenyl)methyl)phenyl)methanone
分子式: C₃₄H₃₈N₂O₃
外观: Pale Yellow Oil
分子量: 522.68
溶解性: Chloroform, DCM, Ethyl Acetate
种类: Standards; Enzyme Activators and Inhibitors; Pharmaceutical/API Drug Impurities/Metabolites;
应用: (4-(2-(Dimethylamino)ethoxy)phenyl)(4-((4-(2-(dimethylamino)ethoxy)phenyl)(phenyl)methyl)phenyl)methanone is an intermediate in the synthesis of Tamoxifen (T006000), a selective estrogen response modifier (SERM), protein kinase C inhibitor and anti-angiogenetic factor.
参考文献


2011-2018 信阳莱耀生物科技有限公司 @ 信阳埃尔文生物科技有限公司版权所有

中检所标准品,对照品,标准气体
Keywords: 中检所标准品 对照品 标准气体