欢迎光临:莱耀标准品网!
 您的位置:对照品 > 标准品 > TRC >
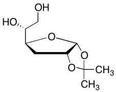
3-Deoxy-1,2-O-(1-methylethylidene)-α-D-ribo-hexofuranose
产品基本信息
产品编号:D232818
产品名称:3-Deoxy-1,2-O-(1-methylethylidene)-α-D-ribo-hexofuranose
产品CAS:4494-96-6
规格含量:50mg
产品价格:面议
联系我们:
产品详细介绍
标准品编号: D232818
名称: 3-Deoxy-1,2-O-(1-methylethylidene)-α-D-ribo-hexofuranose
别名: 3-Deoxy-1,2-O-isopropylidene-D-ribo-hexofuranose; α-3-Deoxy-1,2-O-isopropylidene-D-ribo-hexofuranose; Furo[2,3-d]-1,3-dioxole α-D-Ribo-hexofuranose Derivative
CAS号: 4494-96-6
分子式: C₉H₁₆O₅
分子量: 204.22
溶解性: Dichloroemthane; Methanol
种类: Standards; Carbohydrates and Oligosaccharides;
应用: 3-Deoxy-1,2-O-(1-methylethylidene)-α-D-ribo-hexofuranose is an intermediate in synthesizing 6R,7S,8aR-Glucosepane Tri-TFA Salt (G595310), one of the eight diastereomers of glucosepane. Glucosepane is a structurally complex protein posttranslational modification that is believed to exist in all living organisms. Research in humans suggests that glucosepane plays a critical role in the pathophysiology of both diabetes and human aging.
参考文献


2011-2018 信阳莱耀生物科技有限公司 @ 信阳埃尔文生物科技有限公司版权所有

中检所标准品,对照品,标准气体
Keywords: 中检所标准品 对照品 标准气体