您的位置:对照品 > 标准品 > 农药标准品 > |
|
|
|
| 产品基本信息 |
|
| 产品编号:C45H72O17 |
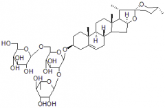
| 产品名称:薯蓣皂苷元-3-O-鼠李糖(1-2)[葡萄糖(1-6)]葡萄糖苷 |
| 产品CAS:1072072-37-7 |
| 规格含量:20mg |
| 产品价格:面议 |
| 联系我们: |
|
|
|
|
|
| 产品详细介绍 |
|
中文名称
|
薯蓣皂苷元-3-O-鼠李糖(1-2)[葡萄糖(1-6)]葡萄糖苷
|
中文别名
|
无
|
|
英文名
|
Diosgenin-3-O-rhamnosyl(1-2)[glucosyl(1-6)]glucoside
|
英文别名
|
无
|
|
分子式
|
|
C45H72O17
|
分子量
|
885.04
|
CAS登录号
|
1072072-37-7
|
|
|
提取来源
|
|
|
外观
|
|
白色粉末
|
|
|
NMR,MS
|
|
4℃冷藏、密封、避光
|
|
2年
|
|
无
|
|
|
鉴别方法
|
|
贮存条件
|
|
有效期
|
|
注意事项
|
|
溶解性
|
溶于DMSO,吡啶,微溶于甲醇
|
|
测定方法
|
C18柱,乙腈/水=55/45, 检测波长210nm
|
|
药典测定方法
|
无
|
|
用途
|
用于含量测定/鉴定/药理实验等
|
|
|
|
|
|