欢迎光临:莱耀标准品网!
收藏本站
网站导航
莱耀生物-标准品网
在线客服
免费电话
首 页
对照品
标准品
标准物质
试剂耗材
培养基
细胞菌种
行业新闻
联系我们
标准品 :
美国药典
进口标准品
TRC
分析标准品
英国药典
欧洲药典标准品
农药标准品
dr标准品
TLC标准品
lgc标准品
sigma
larodan标准品
NIBSC
cato
IRMM
Cerilliant
Chemservice
accustandard
o2si
您的位置:
对照品
>
标准品
>
农药标准品
>
产品基本信息
产品编号:
M567075
产品名称:
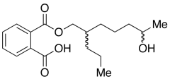
6-Hydroxy Monopropylheptylphthalate (Mixture of Diastereomers)
产品CAS:
1372605-11-2
规格含量:
25mg
产品价格:
面议
联系我们:
产品详细介绍
标准品编号:
M567075
名称:
6-Hydroxy Monopropylheptylphthalate (Mixture of Diastereomers)
别名:
OH-MiDP; 1,2-Benzenedicarboxylic Acid 1-(6-Hydroxy-2-propylheptyl) Ester, OH-MPHP
CAS号:
1372605-11-2
分子式:
C₁₈H₂₆O₅
外观:
Clear Colourless to Pale Yellow Thick Oil
熔点:
N/A
分子量:
322.4
储存:
-20°C Freezer
溶解度:
DMSO (Slightly), Methanol (Slightly)
种类:
Standards; Miscellaneous; Pharmaceutical/API Drug Impurities/Metabolites; Phthalates;
应用:
6-OH-Monopropylheptylphthalate is a phthalate metabolite originating from a DPHP (B523500) used in plasticizers to improve chemical and physical properties.
参考文献
Kasper-Sonnenberg, M. et al.: Int. J. Hyg. Env. Health, 215, 373 (2012); Koch, H. et al.: Int. J. Hyg. Env. Health, 214, 188 (2011);
Download MSDS File
联系我们
服务电话
0376-3269266
业务电话
0376-3269266
最新产品
果果七糖标准品
果果六糖标准品
果果五糖标准品
果果四糖标准品
果果三糖标准品
果果二糖标准品
新蔗果四糖标准品
新蔗果三糖标准品
土壤中六价铬(程序定义量)成分分析
土壤中六价铬(程序定义量)成分分析
热卖产品
α-甲基吡啶对照品
2,2',3,3',4,4',6,6'-八氯联苯标准品 2
嘧菌酯标准品 100mg/L于乙腈,1 ml
三唑醇标准品 100mg/L于异辛烷,1 ml
对二氨基联苯 标准品
8270 Base/Neutral Mix(44种) 标准品
拟除虫菊酯混标(10组分)(GCMS定制
Custom Chlorinated Mix(EDC标准溶液)
11种SVOC混标(GB/T 14848-2017地下水质
8260气体混标(6组份) 标准品
上 下 篇
上一篇:
Monoperoxyphthalic Acid
下一篇:
Mono-sulfoxide Sugammadex Sodium (Epimer B)
首页
对照品
化学对照品
自制对照品
对照药材
中药对照品
工作对照品
国家对照品
杂质对照品
中检所对照品
液相标准品
Supelco
Witega
APSC
NIST
NU-Chek
ChromaDex
Fermentek
标准品
美国药典
进口标准品
TRC
分析标准品
英国药典
欧洲药典标准品
农药标准品
dr标准品
TLC标准品
lgc标准品
sigma
larodan标准品
NIBSC
cato
IRMM
Cerilliant
Chemservice
accustandard
o2si
标准物质
一级标准物质
标准样品
质控品
计量院标准物质
环保部标准物质
农残标准物质
铁标准物质
冶金标样
土壤标准物质
中检院标准物质
试剂耗材
生化试剂
分析纯试剂
标准样品
elisa试剂盒
标准溶液
空心阴极灯
培养基
lb培养基
天然提取物
冻干粉
气相色谱仪
色谱柱
菌种培养基
试剂瓶
对照培养基
细胞菌种
行业新闻
联系我们
网站地图
收藏本站
2011-2018 信阳莱耀生物科技有限公司 @ 信阳埃尔文生物科技有限公司版权所有
中检所标准品,对照品,标准气体
Keywords:
中检所标准品
对照品
标准气体