欢迎光临:莱耀标准品网!
 您的位置:对照品 > 标准品 > 农药标准品 >
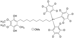
Mitoquinol-d15
产品基本信息
产品编号:M372212
产品名称:Mitoquinol-d15
产品CAS:
规格含量:2.5mg
产品价格:面议
联系我们:
产品详细介绍
标准品编号: M372212
名称: Mitoquinol-d15
别名: [10-(3,6-Dihydroxy-4,5-dimethoxy-2-methylphenyl)decyl]triphenylphosphonium Methanesulfonate-d15; 10-(2,5-Dihydroxy-3,4-dimethoxy-6-methylphenyl)decyl]triphenylphosphonium Methanesulfonate-d15;
参考CAS号: Unlabelled: 845959-55-9
分子式: C₃₈H₃₄D₁₅O₇PS
分子量: 695.92
种类: Standards; Isotopic Labeled Analogues; Pharmaceutical/API Drug Impurities/Metabolites;
应用: Mitoquinol-d15 is an isotopic analog of Mitoquinol (M372210), an antioxidant mitochondrial-targeted coenzyme Q analog with neuroprotective effects.
参考文献


2011-2018 信阳莱耀生物科技有限公司 @ 信阳埃尔文生物科技有限公司版权所有

中检所标准品,对照品,标准气体
Keywords: 中检所标准品 对照品 标准气体