欢迎光临:莱耀标准品网!
 您的位置:对照品 > 标准品 > 农药标准品 >
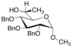
Methyl (6ξ)-7-Deoxy-2,3,4-tris-O-(phenylmethyl)-α-D-gluco-heptopyranoside
产品基本信息
产品编号:M293130
产品名称:Methyl (6ξ)-7-Deoxy-2,3,4-tris-O-(phenylmethyl)-α-D-gluco-heptopyranoside
产品CAS:188011-81-6
规格含量:1mg
产品价格:面议
联系我们:
产品详细介绍
标准品编号: M293130
名称: Methyl (6ξ)-7-Deoxy-2,3,4-tris-O-(phenylmethyl)-α-D-gluco-heptopyranoside
CAS号: 188011-81-6
分子式: C₂₉H₃₄O₆
分子量: 478.58
种类: Building Blocks; Miscellaneous;
应用: Methyl (6ξ)-7-Deoxy-2,3,4-tris-O-(phenylmethyl)-α-D-gluco-heptopyranoside is an intermediate used in the synthesis of (2R,3R,4S,5R,6R)-2-((R)-1-Azidoethyl)-3,4,5-tris(benzyloxy)-6-chlorotetrahydro-2H-pyran (A848993), which is a useful chemical intermediate.
参考文献


2011-2018 信阳莱耀生物科技有限公司 @ 信阳埃尔文生物科技有限公司版权所有

中检所标准品,对照品,标准气体
Keywords: 中检所标准品 对照品 标准气体