欢迎光临:莱耀标准品网!
 您的位置:对照品 > 标准品 > 农药标准品 >
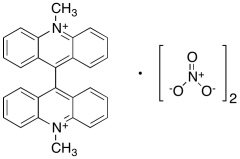
Lucigenin(bis-N-methylacridiniumnitrate)
产品基本信息
产品编号:L473728
产品名称:Lucigenin(bis-N-methylacridiniumnitrate)
产品CAS:22103-92-0
规格含量:25mg
产品价格:面议
联系我们:
产品详细介绍
标准品编号: L473728
名称: Lucigenin(bis-N-methylacridiniumnitrate)
别名: 10,10'-Dimethyl-9,9'-biacridinium;
CAS号: 22103-92-0
分子式: C₂₈H₂₂N₂ •2(NO₃)
分子量: 386.4926201
种类: Research Tools; Molecular Biology; Fluorescent Reagents;
应用: Lucigenin (ultra pure) is hoechst 33342 trihydrochloride.
参考文献


2011-2018 信阳莱耀生物科技有限公司 @ 信阳埃尔文生物科技有限公司版权所有

中检所标准品,对照品,标准气体
Keywords: 中检所标准品 对照品 标准气体