欢迎光临:莱耀标准品网!
 您的位置:对照品 > 标准品 > 农药标准品 >
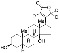
Digitoxigenin-21,23,23-d3
产品基本信息
产品编号:D445541
产品名称:Digitoxigenin-21,23,23-d3
产品CAS:
规格含量:2.5mg
产品价格:面议
联系我们:
产品详细介绍
标准品编号: D445541
名称: Digitoxigenin-21,23,23-d3
别名: (3β,5β)-3,14-Dihydroxy-card-20(22)-enolide; 3β,14-Dihydroxy-5β-card-20(22)-enolide; (+)-Digitoxigenin; Cerberigenin; NSC 407806; Δ20:22-3,14,21-Trihydroxynorcholenic Acid Lactone
参考CAS号: 未标记:143-62-4
分子式: C₂₃H₃₁D₃O₄
外观: 灰白色至浅褐色固体
熔点: >242°C (dec.)
分子量: 377.53
储存: Hygroscopic, -20°C Freezer, Under inert atmosphere
溶解性: Chloroform (Slightly), DMSO (Slightly), Methanol (Slightly)
种类: Standards; Steroids; Pharmaceutical/API Drug Impurities/Metabolites;
应用: Isotope labelled Digitoxigenin has been used in a study to assess its stereochemical effects in cancer cytotoxicity. It has also been used in a study to investigate the advantage of gold(I)-catalyzed glycosidation of glycosyl o-alkyl benzoates to assemble digitoxin.
危险品: Not a dangerous good if item is equal to or less than 1g/ml and there is less than 100g/ml in the package
参考文献


2011-2018 信阳莱耀生物科技有限公司 @ 信阳埃尔文生物科技有限公司版权所有

中检所标准品,对照品,标准气体
Keywords: 中检所标准品 对照品 标准气体