欢迎光临:莱耀标准品网!
 您的位置:对照品 > 标准品 > 进口标准品 >
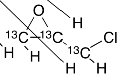
Epichlorohydrin-13C3, 95%
产品基本信息
产品编号:E582301
产品名称:Epichlorohydrin-13C3, 95%
产品CAS:
规格含量:10mg
产品价格:面议
联系我们:
产品详细介绍
标准品编号: E582301
名称: Epichlorohydrin-13C3, 95%
别名: 2-(Chloromethyl)oxirane-13C3; (Chloromethyl)ethylene Oxide-13C3; (Chloromethyl)oxirane-13C3; (RS)-Epichlorhydrin-13C3; (+/-)-Epichlorohydrin-13C3; 1,2-Epoxy-3-chloropropane-13C3; 1-Chloro-2,3-epoxypropane-13C3; 2,3-Epoxypropyl Chloride-13C3; Glycerol Epichlorohydrin-13C3; Glycidyl Chloride-13C3; J 006-13C3; NSC 6747-13C3; dl-α-Epichlorohydrin-13C3; α-Epichlorohydrin-13C3; γ-Chloropropylene Oxide-13C3
参考CAS: 类似: 106-89-8
分子式: ¹³C₃H₅ClO
外观: Clear Colourless Oil
分子量: 95.5
储存: Hygroscopic, -20°C Freezer, Under inert atmosphere
溶解度: Chloroform (Slightly), Methanol (Sparingly)
稳定性: Moisture Sensitive
种类: Building Blocks; Isotopic Labeled Analogues;
应用: Epichlorohydrin-13C3 is a labelled analogue of Epichlorohydrin (E582300), used as a solvent for natural and synthetic resins, gums, cellulose esters and ethers, paints, varnishes, nail enamels and lacquers, cement for Celluloid. Also, it is used as stabilizer. Epichlorohydrin-13C3 is also an intermediate in synthesizing Glycidyl Stearate-13C3 (G615986), an isotope labelled Glycidyl Stearate which is an acid-hydrolyzable ester derivatives as low calorie fat mimetics. It is used in frying oil, margarine, ice cream, milk substitutes and bakery. Carcinogenic substance.
危险品: Not a dangerous good if item is equal to or less than 1g/ml and there is less than 100g/ml in the package
参考文献


2011-2018 信阳莱耀生物科技有限公司 @ 信阳埃尔文生物科技有限公司版权所有

中检所标准品,对照品,标准气体
Keywords: 中检所标准品 对照品 标准气体