欢迎光临:莱耀标准品网!
 您的位置:对照品 > 标准品 > 进口标准品 >
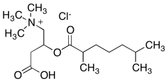
2,6-Dimethylheptanoyl D,L-Carnitine
产品基本信息
产品编号:D486963
产品名称:2,6-Dimethylheptanoyl D,L-Carnitine
产品CAS:
规格含量:10mg
产品价格:面议
联系我们:
产品详细介绍
标准品编号: D486963
名称: 2,6-Dimethylheptanoyl D,L-Carnitine
别名: 3-​Carboxy-​2-​[(2,​6-​dimethyl-​1-​oxoheptyl)​oxy]​-​N,​N,​N-​trimethyl-​1-​propanaminium Chloride;
参考CAS号: Inner Salt: 204120-58-1
分子式: C₁₆H₃₂ClNO₄
分子量: 337.88
种类: Standards; Pharmaceutical/API Drug Impurities/Metabolites;
应用: 2,6-Dimethylheptanoyl D,L-Carnitine is a urinary metabolite often used in bladder cancer diagnosis.
参考文献


2011-2018 信阳莱耀生物科技有限公司 @ 信阳埃尔文生物科技有限公司版权所有

中检所标准品,对照品,标准气体
Keywords: 中检所标准品 对照品 标准气体