欢迎光临:莱耀标准品网!
 您的位置:对照品 > 标准品 > 进口标准品 >
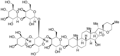
Digitonin
产品基本信息
产品编号:D446305
产品名称:Digitonin
产品CAS:11024-24-1
规格含量:10mg
产品价格:面议
联系我们:
产品详细介绍
标准品编号: D446305
名称: Digitonin
别名: (2α,3β,5α,15β,25R)-2,15-Dihydroxyspirostan-3-yl O-β-D-glucopyranosyl-(1→3)-O-β-D-galactopyranosyl-(1→2)-O-[β-D-xylopyranosyl-(1→3)]-O-β-D-glucopyranosyl-(1→4)-β-D-galactopyranoside; 3-[O-β-D-glucopyranosyl-(1→3)-O-β-D-galactopyranosyl-(1→2)-O-[β-D-xylopyranosyl-(1→3)]-O-β-D-glucopyranosyl-(1→4)-β-D-galactopyranoside]digitogenin; Spirostan β-D-galactopyranoside deriv.; Digitin; NSC 23471; NSC 237417
CAS号: 11024-24-1
分子式: C₅₆H₉₂O₂₉
外观: 白色至白色固体
熔点: >227ºC (dec.)
分子量: 1229.31
储存: Hygroscopic, -20°C Freezer, Under inert atmosphere
溶解性: DMSO (Slightly), Methanol (Slightly)
种类: Building Blocks; Steroids; Pharmaceutical/API Drug Impurities/Metabolites; Carbohydrates and Oligosaccharides;
应用: Digitonin, is a mixture of four diffrent steriods obtained from Digitalis purpurea, used as a reagent in the determination of plasma cholesterol and steroids having a 3-hydroxyl group in beta configuration. It can also be used as Anticancer agent.
参考文献


2011-2018 信阳莱耀生物科技有限公司 @ 信阳埃尔文生物科技有限公司版权所有

中检所标准品,对照品,标准气体
Keywords: 中检所标准品 对照品 标准气体