欢迎光临:莱耀标准品网!
 您的位置:对照品 > 标准品 > 进口标准品 >
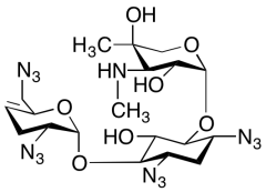
1,3-Diazido-4-O-[(2S,3R)-3-azido-6-(azidomethyl)-3,4-dihydro-2H-pyran-2-yl]-1,2,3-trideoxy
产品基本信息
产品编号:D417558
产品名称:1,3-Diazido-4-O-[(2S,3R)-3-azido-6-(azidomethyl)-3,4-dihydro-2H-pyran-2-yl]-1,2,3-trideoxy
产品CAS:1225277-47-3
规格含量:25mg
产品价格:面议
联系我们:
产品详细介绍
标准品编号: D417558
名称: 1,3-Diazido-4-O-[(2S,3R)-3-azido-6-(azidomethyl)-3,4-dihydro-2H-pyran-2-yl]-1,2,3-trideoxy-6-O-[3-deoxy-4-C-methyl-3-(methylamino)-β-L-arabinopyranosyl]-D-myo-inositol
CAS号: 1225277-47-3
分子式: C₁₉H₂₉N₁₃O₇
分子量: 551.52
种类: Standards; Pharmaceutical/API Drug Impurities/Metabolites; Antibotics;
应用: 1,3-Diazido-4-O-[(2S,3R)-3-azido-6-(azidomethyl)-3,4-dihydro-2H-pyran-2-yl]-1,2,3-trideoxy-6-O-[3-deoxy-4-C-methyl-3-(methylamino)-β-L-arabinopyranosyl]-D-myo-inositol is an intermediate used in the synthesis of O-3-Amino-3-deoxy-α-D-glucopyranosyl-(1→6)-O-[2,6-diamino-2,3,4,6-tetradeoxy-α-D-glycero-hex-4-enopyranosyl-(1→4)]-2-deoxy-D-streptamine (A604395), which is an impurity of Tobramycin (T524000), a single factor antibiotic comprising about 10% of nebramycin, the aminoglycosidic antibiotic complex produced by Streptomyces tenebrarius.
参考文献


2011-2018 信阳莱耀生物科技有限公司 @ 信阳埃尔文生物科技有限公司版权所有

中检所标准品,对照品,标准气体
Keywords: 中检所标准品 对照品 标准气体