欢迎光临:莱耀标准品网!
 您的位置:对照品 > 标准品 > IRMM >
斯皮诺素(棘苷)对照品
产品基本信息
产品编号:C28H32O15
产品名称:斯皮诺素(棘苷)对照品
产品CAS:72063-39-9
规格含量:20mg
产品价格:800
联系我们:
产品详细介绍
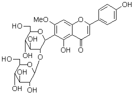
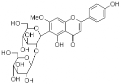
中文名称 斯皮诺素对照品 中文别名 棘苷
英文名 Spinosin 英文别名 Flavoayamenin
分子式
C28H32O15 分子量 608.54 CAS登录号 72063-39-9
提取来源
鼠李科植物酸枣Ziziphus psinosa Hu的干燥成熟种子 化学结构
外观
黄色粉末 72063-39-9
NMR; MS
4℃冷藏、密封、避光
2年
鉴别方法
贮存条件
有效期
注意事项
溶解性 补充中
测定方法 HPLC法, 采用Agilent Eclipse XDB C18 柱( 150 mm ×4.6 mm,5 μm) ,以乙腈( A) - 水( B) 为流动相,梯度洗脱,0 min( 12%A) →8 min( 19%A) →12 min( 20%A) →26 min( 36%A) →28 min( 35%A) →32 min( 100%A) →40 min( 100%A), 柱温:25 ℃ ; 流速: 1. 0 mL /min,检测波长335nm
药典测定方法 补充中
用途 用于含量测定/鉴定/药理实验等


2011-2018 信阳莱耀生物科技有限公司 @ 信阳埃尔文生物科技有限公司版权所有

中检所标准品,对照品,标准气体
Keywords: 中检所标准品 对照品 标准气体