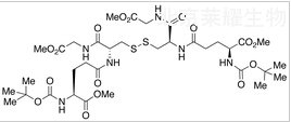
N-tert-Butyloxycarbonyl Glutathione Dimethyl Diester Disulfide Dimer标准品
货号:B699940
别名:N-[(1,1-Dimethylethoxy)carbonyl]-L-γ-glutamyl-L-cysteinyl-glycine 1,3-Dimethyl Ester (2→2�)-Disul
规格:10mg,100mg
结构式:

CAS号:566172-19-8
分子式:C34H56N6O16S2
分子量:868.97
产品类别:莱耀生物标准品,莱耀生物提供
注:产品信息以英文名称为准
|