您的位置:对照品 > 标准品 > 分析标准品 > |
|
|
|
| 产品基本信息 |
|
| 产品编号:A192427 |
| 产品名称:Acyclovir-d4 L-Leucinate |
| 产品CAS:1795785-74-8 |
| 规格含量:1mg,10mg |
| 产品价格:3100元,25000元 |
| 联系我们: |
|
|
|
|
|
| 产品详细介绍 |
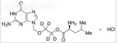
Acyclovir-d4 L-Leucinate标准品
货号:A192427
别名:L-Leucine 2-[(2-Amino-1,6-dihydro-6-oxo-9H-purin-9-yl)methoxy](ethyl-d4) Ester Hydrochloride;
规格:1mg,10mg
结构式:

CAS号:1795785-74-8
分子式:C14H19D4ClN6O4
产品类别:莱耀生物标准品,莱耀生物提供
注:产品信息以英文名称为准
|
|
|
|
|