欢迎光临:莱耀标准品网!
 您的位置:对照品 > 标准品 > 分析标准品 >
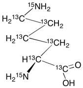
L-Lysine-13C6,15N2 Hydrochloride
产品基本信息
产品编号:L488533
产品名称:L-Lysine-13C6,15N2 Hydrochloride
产品CAS:1200447-00-2
规格含量:100mg
产品价格:面议
联系我们:
产品详细介绍
标准品编号: L488533
名称: L-Lysine-13C6,15N2 Hydrochloride
别名: L-Lysine-1,2,3,4,5,6-13C6-N2,N6-15N2, Hydrochloride; (S)-2,6-Diaminohexanoic acid-13C6,15N2 hydrochloride; 13C and 15N Labeled Lys; 13C and 15N Labeled Lysine Hydrochloride; SILAC Amino Acid;
CAS号: 1200447-00-2
参考CAS号: Free Base: 791568-51-9
分子式: ¹³C₆H₁₄¹⁵N₂O₂ • (HCl)
分子量: 154.133646
种类: Building Blocks; Amino Acids; Isotopic Labeled Analogues;
应用: L-Lysine-13C6,15N2 Hydrochloride (cas# 1200447-00-2) is a compound useful in organic synthesis.
参考文献


2011-2018 信阳莱耀生物科技有限公司 @ 信阳埃尔文生物科技有限公司版权所有

中检所标准品,对照品,标准气体
Keywords: 中检所标准品 对照品 标准气体