欢迎光临:莱耀标准品网!
 您的位置:对照品 > 标准品 > 分析标准品 >
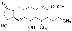
Limaprost-d3
产品基本信息
产品编号:L461502
产品名称:Limaprost-d3
产品CAS:1263190-37-9
规格含量:5mg
产品价格:面议
联系我们:
产品详细介绍
标准品编号: L461502
名称: Limaprost-d3
别名: (2E,11α,13E,15S,17S)-11,15-Dihydroxy-17-(methyl-d3),20-methyl-9-oxoprosta- 2,13-dien-1-oic Acid; 17S-(Methyl-d3),20-methyl-trans-2-PGE1; ONO 1206-d3; OP 1206-d3; Opalmon-d3; Prorenal-d3;
CAS号: 1263190-37-9
参考CAS号: 74397-12-9-unlabelled
分子式: C₂₂H₃₃D₃O₅
外观: 白色至白色固体
熔点: 95-1030C
分子量: 383.54
储存: -20°C Freezer
溶解度: Methanol
种类: Standards; Chiral Molecules; Isotopic Labeled Analogues; Pharmaceutical/API Drug Impurities/Metabolites;
应用: Labelled Limaprost (L461500). Limaprost is an analog of Prostaglandin E1 with structural modifications intended to give it a prolonged half-life and greater potency. Limaprost is used as an antianginal.
危险品: Not a dangerous good if item is equal to or less than 1g/ml and there is less than 100g/ml in the package
参考文献


2011-2018 信阳莱耀生物科技有限公司 @ 信阳埃尔文生物科技有限公司版权所有

中检所标准品,对照品,标准气体
Keywords: 中检所标准品 对照品 标准气体