欢迎光临:莱耀标准品网!
 您的位置:对照品 > 标准品 > 分析标准品 >
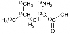
L-Isoleucine-13C6, 15N
产品基本信息
产品编号:I824088
产品名称:L-Isoleucine-13C6, 15N
产品CAS:202406-52-8
规格含量:50mg
产品价格:面议
联系我们:
产品详细介绍
标准品编号: I824088
名称: L-Isoleucine-13C6, 15N
CAS号: 202406-52-8
分子式: ¹³C₆H₁₃¹⁵NO₂
分子量: 138.12
种类: Building Blocks; Amino Acids; Isotopic Labeled Analogues;
应用: L-Isoleucine (13c6, 99%; 15n, 99%) (cas# 202406-52-8) is a useful research chemical.
参考文献


2011-2018 信阳莱耀生物科技有限公司 @ 信阳埃尔文生物科技有限公司版权所有

中检所标准品,对照品,标准气体
Keywords: 中检所标准品 对照品 标准气体