欢迎光临:莱耀标准品网!
 您的位置:对照品 > 标准品 > 分析标准品 >
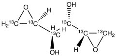
Dulcitol-13C6 Diepoxide
产品基本信息
产品编号:D720517
产品名称:Dulcitol-13C6 Diepoxide
产品CAS:
规格含量:10mg
产品价格:面议
联系我们:
产品详细介绍
标准品编号: D720517
名称: Dulcitol-13C6 Diepoxide
别名: 1,2:5,6-Dianhydrogalactitol-13C6; 1,2:5,6-Dianhydrogalactitol-13C6; 1,2:5,6-Diepoxydulcitol-13C6; Dianhydrodulcitol-13C6; Dianhydrogalactitol-13C6; NSC 132313-13C6;
参考CAS: 23261-20-3-unlabelled
分子式: ¹³C₆H₁₀O₄
分子量: 152.1
种类: Standards; Isotopic Labeled Analogues; Pharmaceutical/API Drug Impurities/Metabolites;
应用: Labelled Dulcitol Diepoxide (D720515). Dulcitol Diepoxide is a cytostatic drug. Dulcitol Diepoxide can be used for treatment of leukemia, lung cancer, multiple myeloma, and nasopharyngeal carcinoma.
危险品: Not a dangerous good if item is equal to or less than 1g/ml and there is less than 100g/ml in the package
参考文献


2011-2018 信阳莱耀生物科技有限公司 @ 信阳埃尔文生物科技有限公司版权所有

中检所标准品,对照品,标准气体
Keywords: 中检所标准品 对照品 标准气体