欢迎光临:莱耀标准品网!
 您的位置:对照品 > 标准品 > 分析标准品 >
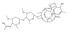
Eprinomectin B1b
产品基本信息
产品编号:E590053
产品名称:Eprinomectin B1b
产品CAS:133305-89-2
规格含量:1mg
产品价格:面议
联系我们:
产品详细介绍
标准品编号: E590053
名称: Eprinomectin B1b
别名: (4''R)-4''-(Acetylamino)-5-O-demethyl-25-de(1-methylpropyl)-4''-deoxy-25-(1-methylethyl)avermectin A1a; Spiro[11,15-methano-2H,13H,17H-furo[4,3,2-pq][2,6]benzodioxacyclooctadecin-13,2'-[2H]pyran], avermectin A1a deriv.; Eprinomectin B1b; Eprinomectin component B1b
CAS号: 133305-89-2
分子式: C₄₉H₇₃NO₁₄
分子量: 900.1
种类: Standards; Environmental Standards, Mutagens and Metabolites; Pesticides;
应用: Eprinomectin B1b is used in the control of parasites, arachnids and insects.
参考文献


2011-2018 信阳莱耀生物科技有限公司 @ 信阳埃尔文生物科技有限公司版权所有

中检所标准品,对照品,标准气体
Keywords: 中检所标准品 对照品 标准气体