欢迎光临:莱耀标准品网!
 您的位置:对照品 > 标准品 > 分析标准品 >
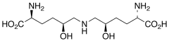
(5S,5’R)-Dihydroxy Lysinonorleucine
产品基本信息
产品编号:D452910
产品名称:(5S,5’R)-Dihydroxy Lysinonorleucine
产品CAS:869111-63-7
规格含量:10mg
产品价格:面议
联系我们:
产品详细介绍
标准品编号: D452910
名称: (5S,5’R)-Dihydroxy Lysinonorleucine
别名: (5S)-N6-[(2R,5S)-5-Amino-5-carboxy-2-hydroxypentyl]-5-hydroxy-L-lysine;
CAS号: 869111-63-7
分子式: C₁₂H₂₅N₃O₆
分子量: 307.34
种类: Research Tools; Molecular Biology; Cross-linkers;
应用: Collagen reducible crosslink agent.
参考文献


2011-2018 信阳莱耀生物科技有限公司 @ 信阳埃尔文生物科技有限公司版权所有

中检所标准品,对照品,标准气体
Keywords: 中检所标准品 对照品 标准气体