欢迎光临:莱耀标准品网!
 您的位置:对照品 > 标准品 > 分析标准品 >
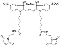
Cyanine 3-Bismaleimide, Potassium Salt, 90%
产品基本信息
产品编号:C959070
产品名称:Cyanine 3-Bismaleimide, Potassium Salt, 90%
产品CAS:
规格含量:5mg
产品价格:面议
联系我们:
产品详细介绍
标准品编号: C959070
名称: Cyanine 3-Bismaleimide, Potassium Salt, 90%
参考CAS: Parent Compound: 13676-54-5
分子式: C₄₇H₅₅KN₆O₁₂S₂
外观: Dark Red Solid
熔点: N/A
分子量: 999.2
储存: Amber Vial, -20°C Freezer, Under Inert Atmosphere
溶解度: Water (Slightly)
类别: Research Tools; Molecular Biology; Cross-linkers; Fluorescent Reagents; Sulfhydryl Active Reagents; Materials; Dyes;
应用: A thiol reactive water soluble fluorescent dye.
参考文献


2011-2018 信阳莱耀生物科技有限公司 @ 信阳埃尔文生物科技有限公司版权所有

中检所标准品,对照品,标准气体
Keywords: 中检所标准品 对照品 标准气体