欢迎光临:莱耀标准品网!
 您的位置:对照品 > 标准品 > 欧洲药典标准品 >
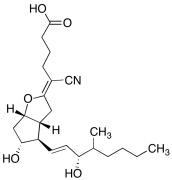
Nileprost
产品基本信息
产品编号:N464200
产品名称:Nileprost
产品CAS:71097-83-1
规格含量:5mg
产品价格:面议
联系我们:
产品详细介绍
标准品编号: N464200
名称: Nileprost
别名: (5E,9α,11α,13E,15S)-5-Cyano-6,9-epoxy-11,15-dihydroxy-16-methylprosta-5,13-dien-1-oic Acid; 2H-Cyclopenta[b]furan, prosta-5,13-dien-1-oic acid derivative; ZK 34798;
CAS号: 71097-83-1
分子式: C₂₂H₃₃NO₅
分子量: 391.5
种类: Standards; Pharmaceutical/API Drug Impurities/Metabolites;
应用: Nileprost is a derivatie of Prostacyclin (P839060), which is a potent platelet inhibitor and is an effective vasodilator. Prostacyclin receptor agonists are valuable drugs in the treatment of various vascular diseases.
参考文献


2011-2018 信阳莱耀生物科技有限公司 @ 信阳埃尔文生物科技有限公司版权所有

中检所标准品,对照品,标准气体
Keywords: 中检所标准品 对照品 标准气体