欢迎光临:莱耀标准品网!
 您的位置:对照品 > 标准品 > 欧洲药典标准品 >
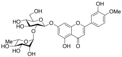
Neodiosmin
产品基本信息
产品编号:N389940
产品名称:Neodiosmin
产品CAS:38665-01-9
规格含量:1g
产品价格:面议
联系我们:
产品详细介绍
标准品编号: N389940
名称: Neodiosmin
别名: 7-[[2-O-(6-Deoxy-α-L-mannopyranosyl)-β-D-glucopyranosyl]oxy]-5-hydroxy-2-(3-hydroxy-4-methoxyphenyl)-4H-1-benzopyran-4-one; 4',5-Dihydroxylflavanone-7-O-α-L-rhamnosyl (1→2)-β-D-glucopyranoside; Diosmetin-7-neohesperidoside;
CAS号: 38665-01-9
分子式: C₂₈H₃₂O₁₅
分子量: 608.54
种类: Standards; Pharmaceutical/API Drug Impurities/Metabolites; Carbohydrates and Oligosaccharides;
应用: Neodiosmin is a flavone glycoside isolated from C. aurantium. Neodiosmin along with other citrus flavonoids showed antiproliferative activities against several tumor and normal human cell lines.
参考文献


2011-2018 信阳莱耀生物科技有限公司 @ 信阳埃尔文生物科技有限公司版权所有

中检所标准品,对照品,标准气体
Keywords: 中检所标准品 对照品 标准气体