欢迎光临:莱耀标准品网!
 您的位置:对照品 > 标准品 > 欧洲药典标准品 >
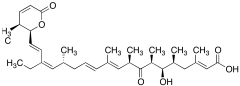
Leptomycin B (5 μg/mL in Ethanol)
产品基本信息
产品编号:KIT2650
产品名称:Leptomycin B (5 μg/mL in Ethanol)
产品CAS:87081-35-4
规格含量:
产品价格:面议
联系我们:
产品详细介绍
标准品编号: KIT2650
名称: Leptomycin B (5 μg/mL in Ethanol)
别名: 19-(3,6-Dihydro-3-methyl-6-oxo-2H-pyran-2-yl)-17-ethyl-6-hydroxy-3,5,7,9,11,15-hexamethyl-8-oxo-2,10,12,16,18-Nonadecapentaenoic Acid; (2E,5S,6R,7S,9R,10E,12E,15R,16Z,18E)-19-[(2S,3S)-3,6-Dihydro-3-methyl-6-oxo-2H-pyran-2-yl]-17-ethyl-6-hydroxy-3,5,7,9,11,15-hexamethyl-8-oxo-2,10,12,16,18-nonadecapentaenoic Acid; Antibiotic CI 940; Antibiotic CL 1957A; CI 940; CL 1957A; Elactocin; Mantuamycin; NSC 364372; PD 114720;
CAS号: 87081-35-4
分子式: C₃₃H₄₈O₆
外观: Clear Colourless Solution
熔点: N/A
分子量: 540.73
储存: -20°C Freezer
溶解度: Ethanol
种类: Standards; Solutions; Kits;
应用: Leptomycin B is a Streptomyces metabolite that inhibits nuclear export of the human immunodeficiency virus type 1 regulatory protein Rev at low nanomolar concentrations. It covalently binds to cysteine residue in the center of CRM1/exportin 1 protein.
参考文献


2011-2018 信阳莱耀生物科技有限公司 @ 信阳埃尔文生物科技有限公司版权所有

中检所标准品,对照品,标准气体
Keywords: 中检所标准品 对照品 标准气体