欢迎光临:莱耀标准品网!
 您的位置:对照品 > 标准品 > 欧洲药典标准品 >
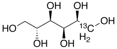
D-Glucitol-1-13C
产品基本信息
产品编号:G415803
产品名称:D-Glucitol-1-13C
产品CAS:132144-93-5
规格含量:100mg
产品价格:面议
联系我们:
产品详细介绍
标准品编号: G415803
名称: D-Glucitol-1-13C
别名: D-Sorbitol-1-13C; Glucarine-1-13C; Esasorb-1-13C; Cholaxine-1-13C; Karion-1-13C; Sionite-1-13C; Sionon-1-13C;
CAS号: 132144-93-5
参考CAS号: Unlabelled: 50-70-4
分子式: C₅¹³CH₁₄O₆
外观: 白色固体
熔点: 92-96°C
分子量: 183.17
储存: 冰箱
溶解度: DMSO, Water
种类: Building Blocks; Isotopic Labeled Analogues; Carbohydrates and Oligosaccharides;
应用: Isotope labelled D-Glucitol is a sugar alcohol obtained from the reduction of glucose and is naturally found in various fruits such as apples, pears and peaches. D-Glucitol has been widely used as a sweetener, laxative, various medical applications and in cosmetic products.
参考文献


2011-2018 信阳莱耀生物科技有限公司 @ 信阳埃尔文生物科技有限公司版权所有

中检所标准品,对照品,标准气体
Keywords: 中检所标准品 对照品 标准气体