欢迎光临:莱耀标准品网!
 您的位置:对照品 > 标准品 > 欧洲药典标准品 >
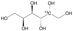
D-Dulcitol-2-13C
产品基本信息
产品编号:D720504
产品名称:D-Dulcitol-2-13C
产品CAS:
规格含量:100mg
产品价格:面议
联系我们:
产品详细介绍
标准品编号: D720504
名称: D-Dulcitol-2-13C
别名: D-Galactitol-2-13C; D-Dulcite-2-13C; D-Dulcose-2-13C; D-Euonymit-2-13C; D-Melampyrin-2-13C; D-Melampyrit-2-13C; NSC 1944-2-13C;
参考CAS: 未标记:608-66-2
分子式: C₅¹³CH₁₄O₆
分子量: 183.16
种类: Building Blocks; Isotopic Labeled Analogues;
应用: Isotope labelled dulcitol (D720500), is the reduction product of Galactose (G155250). An increase in the level of Dulcitol is often a result of metabolism defect caused by a defect in galactose-1-phosphate uridylyltransferase (an autosomal recessive disorder).
参考文献


2011-2018 信阳莱耀生物科技有限公司 @ 信阳埃尔文生物科技有限公司版权所有

中检所标准品,对照品,标准气体
Keywords: 中检所标准品 对照品 标准气体