欢迎光临:莱耀标准品网!
 您的位置:对照品 > 标准品 > 欧洲药典标准品 >
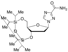
1-[2-Deoxy-3,5-O-[1,1,3,3-tetrakis(1-methylethyl)-1,3-disiloxanediyl]-β-D-erythro
产品基本信息
产品编号:D278780
产品名称:1-[2-Deoxy-3,5-O-[1,1,3,3-tetrakis(1-methylethyl)-1,3-disiloxanediyl]-β-D-erythro
产品CAS:359861-06-6
规格含量:25mg
产品价格:面议
联系我们:
产品详细介绍
标准品编号: D278780
名称: 1-[2-Deoxy-3,5-O-[1,1,3,3-tetrakis(1-methylethyl)-1,3-disiloxanediyl]-β-D-erythro-pentofuranosyl]-1H-1,2,4-triazole-3-carboxamide
CAS号: 359861-06-6
分子式: C₂₀H₃₈N₄O₅Si₂
外观: 白色固体
分子量: 470.71
溶解性: Methanol
种类: Building Blocks; Pharmaceutical/API Drug Impurities/Metabolites;
应用: 1-[2-Deoxy-3,5-O-[1,1,3,3-tetrakis(1-methylethyl)-1,3-disiloxanediyl]-β-D-erythro-pentofuranosyl]-1H-1,2,4-triazole-3-carboxamide is an intermediate in the synthesis of 2’-Deoxyribavirin-5’-triphosphate (D2149940) Triethylamine Salt, a potential new inhibitor for HIV-1 replication.
参考文献


2011-2018 信阳莱耀生物科技有限公司 @ 信阳埃尔文生物科技有限公司版权所有

中检所标准品,对照品,标准气体
Keywords: 中检所标准品 对照品 标准气体