欢迎光临:莱耀标准品网!
 您的位置:对照品 > 标准品 > 欧洲药典标准品 >
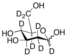
2-Deoxy-D-glucose-d8
产品基本信息
产品编号:D239006
产品名称:2-Deoxy-D-glucose-d8
产品CAS:
规格含量:5mg
产品价格:面议
联系我们:
产品详细介绍
标准品编号: D239006
名称: 2-Deoxy-D-glucose-d8
别名: 2-Deoxy-D-arabino-hexose-d8; 2-Deoxy-D-mannose-d8; 2-Deoxyglucose-d8; 2-Desoxy-D-glucose-d8; Ba 2758-d8; NSC 15193-d8;
参考CAS号: 未标记:154-17-6
分子式: C₆H₄D₈O₅
分子量: 172.21
种类: Standards; Isotopic Labeled Analogues; Carbohydrates and Oligosaccharides;
应用: 2-Deoxy-D-glucose-d8 is an isotopic analog of 2-Deoxy-D-glucose (D239000) which is an inhibitor of glucose metabolism and has been reported to reverse Lupus symptoms in mice in conjunction with metformin (M258815).
参考文献


2011-2018 信阳莱耀生物科技有限公司 @ 信阳埃尔文生物科技有限公司版权所有

中检所标准品,对照品,标准气体
Keywords: 中检所标准品 对照品 标准气体