欢迎光临:莱耀标准品网!
 您的位置:对照品 > 标准品 > 欧洲药典标准品 >
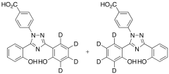
Deferasirox-d4 (major)(Mixture of 6-hydroxyphenyl-d4 isomers)
产品基本信息
产品编号:D228653
产品名称:Deferasirox-d4 (major) (Mixture of 6-hydroxyphenyl-d4 isomers)
产品CAS:
规格含量:10mg
产品价格:面议
联系我们:
产品详细介绍
标准品编号: D228653
名称: Deferasirox-d4 (major) (Mixture of 6-hydroxyphenyl-d4 isomers)
别名: 4-[5-(2-Hydroxyphenyl)-3-(6-hydroxyphenyl-2,3,4,5-d4)-1H-1,2,4-triazol-1-yl]benzoic Acid & 4-[3-(2-hydroxyphenyl)-5-(6-hydroxyphenyl-2,3,4,5-d4)-1H-1,2,4-triazol-1-yl]benzoic Acid (1:1);
参考CAS号: mix: 1133425-79-2 & 1133425-77-0; 201530-41-8 unla
分子式: C₂₁H₁₁D₄N₃O₄
外观: Beige to Yellow Solid
熔点: >255°C (dec.)
分子量: 377.39
溶解性: DMSO, Methanol
种类: Standards; Isotopic Labeled Analogues; Pharmaceutical/API Drug Impurities/Metabolites;
应用: Labelled orally active tridentate iron chelator.
参考文献


2011-2018 信阳莱耀生物科技有限公司 @ 信阳埃尔文生物科技有限公司版权所有

中检所标准品,对照品,标准气体
Keywords: 中检所标准品 对照品 标准气体