您的位置:对照品 > 标准品 > 欧洲药典标准品 > |
|
|
|
| 产品基本信息 |
|
| 产品编号:C818825 |
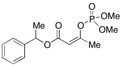
| 产品名称:cis-Crotoxyphos |
| 产品CAS:29900-31-0 |
| 规格含量:2.5g |
| 产品价格:面议 |
| 联系我们: |
|
|
|
|
|
| 产品详细介绍 |
| 标准品编号: |
C818825 |
| 名称: |
cis-Crotoxyphos |
| 别名: |
(Z)-3-Hydroxycrotonic Acid α-Methylbenzyl Ester Dimethyl Phosphate; Dimethyl Phosphate Ester of α-Methylbenzyl-3-hydroxy-cis-crotonate; α-Methylbenzyl 3-Hydroxy-cis-crotonate Dimethyl Phosphate; (Z)-1-Phenylethyl 3-((Dimethoxyphosphoryl)oxy)but-2-enoate |
| CAS号: |
29900-31-0 |
| 分子式: |
C₁₄H₁₉O₆P |
| 外观: |
Pale Yellow Oil |
| 分子量: |
314.27 |
| 储存: |
Hygroscopic, -20°C Freezer, Under inert atmosphere |
| 溶解度: |
Chloroform |
| 稳定性: |
Moisture Sensitive |
| 类别: |
Standards; Environmental Standards, Mutagens and Metabolites; |
| 应用: |
cis-Crotoxyphos is an insecticide. |
| 参考文献 |
|
|
|
|
|
|