欢迎光临:莱耀标准品网!
 您的位置:对照品 > 标准品 > dr标准品 >
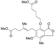
Mycophenolic Acid Carboxybutoxy Ether Dimethyl Ester
产品基本信息
产品编号:M831560
产品名称:Mycophenolic Acid Carboxybutoxy Ether Dimethyl Ester
产品CAS:
规格含量:25mg
产品价格:面议
联系我们:
产品详细介绍
标准品编号: M831560
名称: Mycophenolic Acid Carboxybutoxy Ether Dimethyl Ester
分子式: C₂₄H₃₂O₈
外观: Colourless Oil
分子量: 448.51
储存: 冰箱
溶解度: DCM, Ethyl Acetate, Methanol
种类: Standards; Pharmaceutical/API Drug Impurities/Metabolites;
应用: Mycophenolic Acid Carboxybutoxy Ether Dimethyl Ester is a metabolite of Mycophenolic Acid (M831500).
参考文献


2011-2018 信阳莱耀生物科技有限公司 @ 信阳埃尔文生物科技有限公司版权所有

中检所标准品,对照品,标准气体
Keywords: 中检所标准品 对照品 标准气体