欢迎光临:莱耀标准品网!
 您的位置:对照品 > 标准品 > dr标准品 >
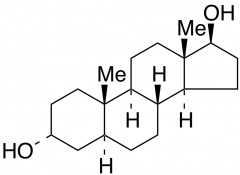
5α-Androstane-3α,17β-diol (1.0mg/ml in Methanol)
产品基本信息
产品编号:KIT9080
产品名称:5α-Androstane-3α,17β-diol (1.0mg/ml in Methanol)
产品CAS:1852-53-5
规格含量:
产品价格:面议
联系我们:
产品详细介绍
标准品编号: KIT9080
名称: 5α-Androstane-3α,17β-diol (1.0mg/ml in Methanol)
别名: (3α,5α,17β)-Androstane-3,17-diol; 3α,17β-Dihydroxy-5α-androstane; 3α,5α-Tetrahydrotestosterone; Adiol; Androstane-3α,17β-diol; Etiocholane-3α,17β- diol; Hombreol; NSC 9899;
CAS号: 1852-53-5
分子式: C₁₉H₃₂O₂
外观: Colourless Solution
熔点: N/A
分子量: 292.46
储存: -20°C Freezer, Under inert atmosphere
溶解度: Methanol
种类: Standards; Solutions; Kits;
应用: A metabolite of Testosterone (T155000).
危险品: Not a dangerous good if item is equal to or less than 1g/ml and there is less than 100g/ml in the package
参考文献


2011-2018 信阳莱耀生物科技有限公司 @ 信阳埃尔文生物科技有限公司版权所有

中检所标准品,对照品,标准气体
Keywords: 中检所标准品 对照品 标准气体