欢迎光临:莱耀标准品网!
 您的位置:对照品 > 标准品 > dr标准品 >
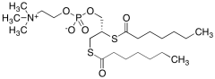
1,2-bis(Heptanoylthio)glycerophosphocholine (in Ethanol) (~90%)
产品基本信息
产品编号:H281303
产品名称:1,2-bis(Heptanoylthio)glycerophosphocholine (in Ethanol) (~90%)
产品CAS:89019-63-6
规格含量:5mg
产品价格:面议
联系我们:
产品详细介绍
标准品编号: H281303
名称: 1,2-bis(Heptanoylthio)glycerophosphocholine (in Ethanol) (~90%)
别名: (S)-4-Hydroxy-N,N,N-trimethyl-10-oxo-7-[(1-oxoheptyl)thio]-3,5-dioxa-9-thia-4-phosphahexadecan-1-aminium 4-Oxide Inner Salt
CAS号: 89019-63-6
分子式: C₂₂H₄₄NO₆PS₂
外观: Colourless Solution
分子量: 513.69
储存: -20°C Freezer
溶解度: Chloroform (Slightly), Ethanol
种类: Standards; Lipids/Fatty Acids, Glycerol Derivatives;
应用: 1,2-bis(Heptanoylthio)glycerophosphocholine is a lipid tool for assay of PLA2 activity.
参考文献


2011-2018 信阳莱耀生物科技有限公司 @ 信阳埃尔文生物科技有限公司版权所有

中检所标准品,对照品,标准气体
Keywords: 中检所标准品 对照品 标准气体