欢迎光临:莱耀标准品网!
 您的位置:对照品 > 标准品 > dr标准品 >
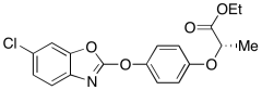
Fenoxaprop P-Ethyl
产品基本信息
产品编号:F248875
产品名称:Fenoxaprop P-Ethyl
产品CAS:71283-80-2
规格含量:1g
产品价格:面议
联系我们:
产品详细介绍
标准品编号: F248875
名称: Fenoxaprop P-Ethyl
别名: (2R)-2-[4-[(6-Chloro-2-benzoxazolyl)oxy]phenoxy]propanoic Acid Ethyl Ester; (R)-2-[4-[(6-Chloro-2-benzoxazolyl)oxy]phenoxy]propanoic Acid Ethyl Ester ; (+)-(R)-Fenoxaprop-ethyl; (R)-Ethyl Fenoxaprop; AEF 04-6360; AEF 046360; Acclaim Extra; Aclaim; Cheetah; Ethyl (2R)-2-[4-(6-Chloro-2-benzoxazolyloxy)phenoxy]propionate; Exel Super; Fenoxaprop-P Ethyl Ester; Furore Super; HOE 046360; Isomero; Option Super; Primera Super; Proper Energy; Pujing; Ralon Super; Ricestar; Super Whip; Whip 360; Whip S; Whip Super; XL 71AG
CAS号: 71283-80-2
分子式: C₁₈H₁₆ClNO₅
外观: Solid
分子量: 361.78
种类: Standards; Environmental Standards, Mutagens and Metabolites;
应用: Fenoxaprop P-ethyl is an aryloxyphenoxypropionate compound widely used as an herbicide for control of postemergence annual grasses in crop fields (mostly in rice paddys). Fenoxaprop P-ethyl is routinely used with an agronomic safener in order to minimize the toxic effects of the herbicide on the desired crops.
危险品: Not a dangerous good if item is equal to or less than 1g/ml and there is less than 100g/ml in the package
参考文献


2011-2018 信阳莱耀生物科技有限公司 @ 信阳埃尔文生物科技有限公司版权所有

中检所标准品,对照品,标准气体
Keywords: 中检所标准品 对照品 标准气体