欢迎光临:莱耀标准品网!
 您的位置:对照品 > 标准品 > dr标准品 >
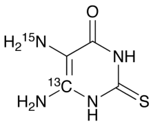
5,6-Diamino-2-thiouracil-13C,15N
产品基本信息
产品编号:D416817
产品名称:5,6-Diamino-2-thiouracil-13C,15N
产品CAS:1246816-80-7
规格含量:100mg
产品价格:面议
联系我们:
产品详细介绍
标准品编号: D416817
名称: 5,6-Diamino-2-thiouracil-13C,15N
别名: 5,6-Diamino-2,3-dihydro-2-thioxo-4(1H)-pyrimidinone-13C,15N; 5,6-Diamino-2-thio-uracil;-13C,15N 2-Mercapto-4,5-diamino-6-hydroxypyrimidine-13C,15N; 4,5-Diamino-2-mercaptopyrimidin-6-ol-13C,15N; 4,5-Diamino-6-hydroxy-2-mercaptopyrimidine-13C,15N; 5,6-Diamino-2-thiouracil-13C,15N; NSC 147804-13C,15N; NSC 45759-13C,15N;
CAS号: 1246816-80-7
参考CAS号: 类似: 1004-76-8
分子式: C₃¹³CH₆N₃¹⁵NOS
外观: 淡黄色固体
分子量: 160.17
溶解性: Aqueous Sodium Hydroxide
种类: Standards; Isotopic Labeled Analogues; Pharmaceutical/API Drug Impurities/Metabolites;
应用: Key intermediate in the production of anticancer and analgesic agents.
参考文献


2011-2018 信阳莱耀生物科技有限公司 @ 信阳埃尔文生物科技有限公司版权所有

中检所标准品,对照品,标准气体
Keywords: 中检所标准品 对照品 标准气体