|
中文名称 |
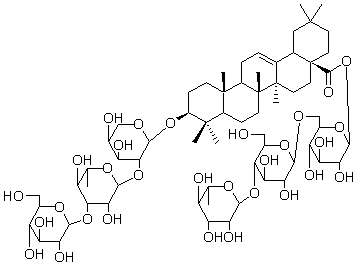
3-O-D-葡萄糖(1→3)-L-鼠李糖(1→2)-L-阿拉伯糖- 齐墩果酸–28-O-鼠李糖(1→4)葡萄糖(1→6)葡萄糖苷对照品 |
中文别名 |
3-O-D-葡萄糖(1→3)-L-鼠李糖(1→2)-L-阿拉伯糖- 齐墩果酸–28-O-鼠李糖(1→4)葡萄糖(1→6)葡萄糖甙 |
|
英文名 |
3-O-D-glucopyranosyl( 1→3)-L-rhamnopyranosyl(1→2)-L-arabinopyranosyl Oleanolic acid – 28-O-rhamnopyranosyl(1→4)glucopyranosyl(1→6)glucopyranoside |
英文别名 |
补充中 |
|
分子式 |
|
C65H106O30 |
分子量 |
1366 |
CAS登录号 |
261767-91-3 |
|
|
提取来源 |
|
毛莨科植物白头翁Pulsatilla chinensis (Bunge) Regel. |
化学结构 |
|
|
外观 |
|
白色晶体 |
 |
|
NMR; MS |
|
4℃冷藏、密封、避光 |
|
2年 |
|
无 |
|
|
鉴别方法 |
|
贮存条件 |
|
有效期 |
|
注意事项 |
|
溶解性 |
可溶于甲醇、乙腈、乙醇等溶剂,不溶于石油醚。 |
|
测定方法 |
补充中 |
|
药典测定方法 |
补充中 |
|
用途 |
用于含量测定/鉴定/药理实验等 |