|
中文名称 |
柚皮苷对照品 |
中文别名 |
柚苷;柑橘甙、异橙皮甙 |
|
英文名 |
Naringin |
英文别名 |
Naringenine-7-rhamnosidoglucoside |
|
分子式 |
|
C27H32O14 |
分子量 |
580.54 |
CAS登录号 |
10236-47-2 |
|
|
提取来源 |
|
芸香科植物柚(Citrus paradisi Macfadyen)果实 |
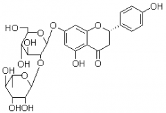
化学结构 |
|
|
外观 |
|
白色至浅黄色结晶性粉末 |
 |
|
NMR; MS |
|
4℃冷藏、密封、避光 |
|
2年 |
|
无 |
|
|
鉴别方法 |
|
贮存条件 |
|
有效期 |
|
注意事项 |
|
溶解性 |
溶于甲醇、乙醇、丙酮、醋酸、稀碱溶液和热水,常温下,在水中的溶解度为0.1%,75℃时可达10%。不溶于石油醚、乙醚、苯和氯仿等非极性溶剂。 |
|
测定方法 |
色谱柱Diamnosil C18柱(200 mm×4.6 mm,5μm);检测波长283 nm;流动相为甲醇-水-冰醋酸(体积比为37∶63∶0.2);流速1.0 mL.min-1;柱温为室温。 |
|
药典测定方法 |
色谱柱:ODS,流动相:甲醇-醋酸-水(35:4:61)检测波长:UVD283nm。 |
|
用途 |
用于含量测定/鉴定/药理实验等 |