您的位置:对照品 > 标准品 > cato > |
|
|
|
| 产品基本信息 |
|
| 产品编号:C60H98O28 |
| 产品名称:辽东楤木皂苷X(辽东楤木皂甙X)对照品 |
| 产品CAS:344911-90-6 |
| 规格含量:20mg |
| 产品价格:1600 |
| 联系我们: |
|
|
|
|
|
| 产品详细介绍 |
|
中文名称 |
辽东楤木皂苷X对照品 |
中文别名 |
辽东楤木皂甙X |
|
英文名 |
Araloside X |
英文别名 |
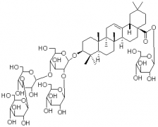
Congmunoside X;3-O-{[β-D-glucopyranosyl(1→2)]-[ β-D-glucopyran osyl(1→3)-β-D-glucopyranosyl(1→3)] β-D-glucopyranosy l}hederagenin 28-O-β-D-glucopyranosyl ester |
|
分子式 |
|
C60H98O28 |
分子量 |
1266 |
CAS登录号 |
344911-90-6 |
|
|
提取来源 |
|
五加科楤木属辽东楤木(Aralia elate(Miq.)Seem.) 的根 |
化学结构 |
|
|
外观 |
|
白色粉末 |
 |
|
NMR; |
|
4℃冷藏、密封、避光 |
|
2年 |
|
无 |
|
|
鉴别方法 |
|
贮存条件 |
|
有效期 |
|
注意事项 |
|
溶解性 |
可溶于水,不溶于石油醚、氯仿。 |
|
测定方法 |
色谱柱Hypersil C18 ( 250 mm x 4. 6 mm, 5 μm)色谱柱为吸附剂, V (乙腈) :V (水) = 30:70 为流动相,检测波长为203 nm。 |
|
药典测定方法 |
补充中 |
|
用途 |
用于含量测定/鉴定/药理实验等 |
|
|
|
|
|