维生素K1-D7标准品
货号:V676083
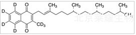
英文名称:Vitamin K1-d7
别名:2-Methyl-3-[(2E,7R,11R)-3,7,11,15-tetramethyl-2-hexadecenyl]-1,4-naphthalenedione-d7; Konakion-d7
规格:1mg,10mg
结构式:

CAS号:1233937-39-7
分子式:C31H39D7O2
外观:Clear Orange to Brown Oil
产品类别:莱耀生物标准品,莱耀生物提供
注:产品信息以英文名称为准
|