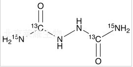
1,2-Hydrazinedicarboxamide-13C2,15N2标准品
货号:H697560
英文名称:1,2-Hydrazinedicarboxamide-13C2,15N2
别名:Hydrazinedicarboxylic Acid-13C2,15N2, Diamide-13C2,15N2; N,N'-Biscarbamoylhydrazine-13C2,15N2; Bicarbamamide-13C2,15N2; Bicarbamimidic Acid-13C2,15N2; NSC 1897-13C2,15N2;
规格:5mg,50mg
结构式:

CAS号:1189730-21-9
分子式:13C2H615N2O2
分子量:122.07
产品类别:莱耀生物标准品,北京莱耀生物提供
注:产品名称以英文名称为准
|