N-Acetyl-S-(propyl-d7)-L-cysteine标准品
货号:A168037
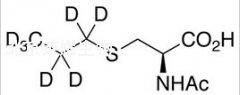
英文名称:N-Acetyl-S-(propyl-d7)-L-cysteine
别名:N-Acetyl-3-(propyl-d7-thio)alanine; (Propyl-d7)mercapturic Acid;
规格:2.5mg,25mg
结构式:

CAS号:1331909-69-3
分子式:C8H8D7NO3S
分子量:212.32
产品类别:莱耀生物标准品,北京莱耀生物提供
注:产品名称以英文名称为准
|