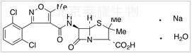
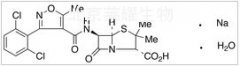
双氯西林钠一水合物标准品
货号:D436652
英文名称: Dicloxacillin Sodium Salt Monohydrate
别名: (2S,5R,6R)-6-[[[3-(2,6-Dichlorophenyl)-5-methyl-4-isoxazolyl]carbonyl]amino]-3,3- dimethyl-7-oxo-4-thia-1-azabicyclo[3.2.0]heptane-2-carboxylic Acid Sodium Salt Hydrate; 3-(2,6-Dichlorophenyl)-5-methyl-4-isoxazolyl Penicillin Sodium Salt Monohydrate; Dichlorstapenor Sodium; Dicloxacillin Sodium Hydrate; P 1011; Sodium Dicloxacillin Hydrate; Sodium Dicloxacillin Monohydrate;
规格:1mg,10mg
结构式:

CAS号:13412-64-1
分子式:C19H18Cl2N3NaO6S
分子量:510.32
产品类别:莱耀生物标准品,北京莱耀生物提供
注:产品名称以英文名称为准
|